Calcul de la corrélation dans Excel : votre guide pratique
Microsoft Excel vous permet de faire plus que simplement créer des feuilles de calcul – vous pouvez également utiliser le logiciel pour calculer des fonctions clés, telles que la relation entre deux variables. Connue sous le nom de coefficient de corrélation, cette métrique est utile pour mesurer l’impact d’une opération sur une autre afin d’informer les opérations commerciales.
Vous n’êtes pas sûr de vos compétences en Excel ? Aucun problème. Voici comment calculer – et comprendre – le coefficient de corrélation dans Excel.
![Téléchargez 10 modèles Excel pour les spécialistes du marketing [Free Kit]](https://myjobfile.com/wp-content/uploads/2022/07/15-Excel-Formulas-Keyboard-Shortcuts-Tricks-Thatll-Save-You.png)
Qu’est-ce que la corrélation ?
La corrélation mesure la relation entre deux variables. Un coefficient de corrélation de 0 signifie que les variables n’ont aucun impact les unes sur les autres – les augmentations ou les diminutions d’une variable n’ont pas d’effet constant sur l’autre.
Un coefficient de corrélation de +1 indique une « corrélation positive parfaite », ce qui signifie que lorsque la variable X augmente, la variable Y augmente au même rythme. Une valeur de corrélation de -1, quant à elle, est une “corrélation négative parfaite”, ce qui signifie que lorsque la variable X augmente, la variable Y diminue au même rythme. L’analyse de corrélation peut également renvoyer des résultats entre -1 et +1, ce qui indique que les variables changent à des taux similaires mais pas identiques.
Les valeurs de corrélation peuvent aider les entreprises à évaluer l’impact d’actions spécifiques sur d’autres actions. Par exemple, les entreprises peuvent constater qu’à mesure que les dépenses en marketing sur les réseaux sociaux augmentent, l’engagement des clients augmente également, ce qui indique qu’une augmentation des dépenses pourrait avoir du sens.
Ou ils peuvent constater que des campagnes publicitaires spécifiques entraînent une diminution corrélée de l’engagement des clients, ce qui suggère à son tour la nécessité d’une réévaluation des efforts actuels. La découverte que les variables ne sont pas corrélées peut également être précieuse ; Bien que le bon sens puisse suggérer qu’une nouvelle fonction ou fonctionnalité de votre produit serait en corrélation avec un engagement accru, cela pourrait n’avoir aucun impact mesurable. L’analyse de corrélation permet aux entreprises de visualiser cette relation (ou son absence) et de prendre des décisions stratégiques judicieuses.
Comment calculer le coefficient de corrélation dans Excel
- Ouvrez Excel.
- Installez le pack d’outils d’analyse.
- Sélectionnez “Données” dans le menu de la barre supérieure.
- Sélectionnez “Analyse des données” dans le coin supérieur droit.
- Sélectionnez Corrélation.
- Définissez votre plage de données et votre sortie.
- Évaluez votre coefficient de corrélation.
Alors, comment calculez-vous le coefficient de correction dans Excel ? Simple! Suivez ces étapes:
1. Ouvrez Excel.
Première étape : Ouvrez Excel et démarrez une nouvelle feuille de calcul pour vos données variables corrélées. Entrez les points de données de votre première variable dans la colonne A et de votre deuxième variable dans la colonne B. Vous pouvez également ajouter des variables supplémentaires dans les colonnes C, D, E, etc. — Excel fournira un coefficient de corrélation pour chacune.
Dans l’exemple ci-dessous, nous avons saisi six lignes de données dans la colonne A et six dans la colonne B.

2. Installez le Toolpak d’analyse.
La prochaine étape ? Si vous ne l’avez pas, installez le Excel Analysis Toolpak.
Sélectionnez “Fichier”, puis “Options”, et vous verrez cet écran :

Sélectionnez “Add-Ins” puis cliquez sur “Go”.

Maintenant, cochez la case “Analysis ToolPak” et cliquez sur “Ok”.
3. Sélectionnez “Données” dans le menu de la barre supérieure.
Une fois que vous avez installé le ToolPak, sélectionnez “Données” dans le menu supérieur de la barre Excel. Cela vous fournit un sous-menu qui contient une variété d’options d’analyse pour vos données.
4. Sélectionnez « Analyse des données » dans le coin supérieur droit.
Maintenant, recherchez “Analyse des données” dans le coin supérieur droit et cliquez dessus pour obtenir cet écran :

5. Sélectionnez Corrélation.
Sélectionnez Corrélation dans le menu et cliquez sur “OK”.

6. Définissez votre plage de données et votre sortie.
Définissez maintenant votre plage de données et votre sortie. Vous pouvez simplement cliquer avec le bouton gauche et faire glisser votre curseur sur les données que vous souhaitez sélectionner, et il se remplira automatiquement dans la zone Corrélation. Enfin, sélectionnez une plage de sortie pour vos données de corrélation — nous avons choisi A8. Ensuite, cliquez sur “OK”.

7. Évaluez votre coefficient de corrélation.
Vos résultats de corrélation seront maintenant affichés. Dans notre exemple, les valeurs des colonnes 1 et 2 ont une corrélation négative parfaite ; à mesure que l’un monte, l’autre descend au même rythme.

La matrice de corrélation Excel
Les résultats de corrélation Excel sont également connus sous le nom de matrice de corrélation Excel. Dans l’exemple ci-dessus, nos deux colonnes de données ont produit une matrice de correction parfaite de 1 et -1. Mais que se passe-t-il si nous produisons une matrice de corrélation avec un ensemble de données moins idéal ?
Voici nos données :

Et voici la matrice :

La cellule C4 de la matrice nous donne la corrélation entre la colonne 3 et la colonne 2, qui est un très faible 0,01025, tandis que la colonne 1 et la colonne 3 donnent une corrélation négative plus forte de -0,17851. Cependant, la corrélation de loin la plus forte se situe entre la colonne 1 et la colonne 2 à -0,66891.
Alors qu’est-ce que cela signifie en pratique? Supposons que nous examinions l’impact d’actions spécifiques sur l’efficacité d’une campagne de médias sociaux, où la colonne 1 représente le nombre de visiteurs qui cliquent sur les publicités sociales et les colonnes 2 et 3 représentent deux slogans marketing différents. La matrice de corrélation montre une forte corrélation négative entre les colonnes 1 et 2, ce qui suggère que la version de la colonne 2 du slogan a considérablement réduit l’engagement global des utilisateurs, tandis que la colonne 3 n’a entraîné qu’une légère diminution.
La création régulière de matrices Excel peut aider les entreprises à mieux comprendre l’impact d’une variable sur une autre et à déterminer quels effets négatifs ou positifs (le cas échéant) peuvent exister.
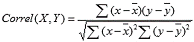
La formule de corrélation Excel
Si vous préférez entrer vous-même la formule de corrélation, c’est également une option. Voici à quoi ça ressemble :

X et Y sont vos mesures, ∑ est la somme, et X et Y avec les barres au-dessus indiquent la valeur moyenne des mesures. Vous le calculeriez comme suit :
- Calculez la somme de la variable X moins la moyenne de X.
- Calculez la somme de la variable Y moins la moyenne de Y.
- Multipliez ces deux résultats et mettez ce nombre de côté (c’est le premier résultat).
- Mettez au carré la somme de X moins la moyenne de X. Mettez au carré la somme de Y moins la moyenne de Y. Multipliez ces deux nombres.
- Prenez la racine carrée (c’est le deuxième résultat).
- Divisez le premier résultat par le deuxième résultat.
- Vous obtenez le coefficient de corrélation.
Facile, non ? Oui et non. Bien que brancher les chiffres ne soit pas compliqué, il est souvent plus difficile que nécessaire de créer et de gérer cette formule. Le Toolpak Excel intégré est souvent un moyen plus simple (et plus rapide) d’identifier les coefficients et de découvrir les relations clés.
Corrélation ≠ Non causalité
Aucun article sur la corrélation n’est complet sans mentionner qu’il n’est pas égal à la causalité. En d’autres termes, ce n’est pas parce que deux variables augmentent ou diminuent ensemble qu’une variable est la cause de l’augmentation ou de la diminution de l’autre variable.
Prenons quelques exemples très étranges.

Cette image montre une corrélation négative presque parfaite entre le nombre de pirates et la température moyenne mondiale – à mesure que les pirates devenaient plus rares, la température moyenne augmentait.
Le problème? Bien que ces deux variables soient corrélées, il n’y a pas de lien de causalité entre les deux ; des températures plus élevées n’ont pas réduit la population de pirates et moins de pirates n’ont pas provoqué le réchauffement climatique.
Bien que la corrélation soit un outil puissant, elle n’indique que la direction de l’augmentation ou de la diminution entre deux variables, et non la cause de cette augmentation ou de cette diminution. Pour découvrir des liens de causalité, les entreprises doivent augmenter ou diminuer une variable et observer l’impact. Par exemple, si la corrélation montre que l’engagement client augmente avec les dépenses sur les réseaux sociaux, il vaut la peine d’opter pour une légère augmentation des dépenses suivie d’une mesure des résultats. Si plus de dépenses mènent directement à un engagement accru, le lien est à la fois corrélé et causal. Sinon, il peut y avoir un (ou plusieurs) facteurs qui sous-tendent l’augmentation des deux variables.
Suivre les corrélations
Les corrélations Excel offrent un point de départ solide pour le développement de stratégies de marketing, de vente et de dépenses, mais elles ne disent pas tout. Par conséquent, il vaut la peine d’utiliser les options d’analyse de données intégrées d’Excel pour évaluer rapidement la corrélation entre deux variables et utiliser ces données comme point de départ pour une analyse plus approfondie.
